
很多人因为种种原因导致在高中时期的数学成绩不好,但这样一来在高考时未免就会影响到总体成绩,那么基础差的考生如何复习数学才能考出不错的分数呢?下面就让我们一起来看看高考数学想逆袭应该怎么做。
首先小编建议大家在学习的时候可以将数学各个知识点进行分类,然后将它们安排在不同阶段去针对性的学习,这边建议大家分成数列、三角函数、导数和函数、解析几何、概率统计这几个大块,部分知识重点如下:
数列
数列是以正整数集(或它的有限子集)为定义域的函数,是一列有序的数。日常生活中,人们也常常用到等差数列如:在给各种产品的尺寸划分级别时,当其中的最大尺寸与最小尺寸相差不大时,常按等差数列进行分级。
三角函数
三角函数是基本初等函数之一,是以角度(数学上最常用弧度制,下同)为自变量,角度对应任意角终边与单位圆交点坐标或其比值为因变量的函数。
常见的三角函数包括正弦函数、余弦函数和正切函数。在航海学、测绘学、工程学等其他学科中,还会用到如余切函数、正割函数、余割函数、正矢函数、余矢函数、半正矢函数、半余矢函数等其他的三角函数。不同的三角函数之间的关系可以通过几何直观或者计算得出,称为三角恒等式。
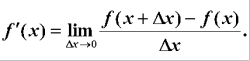
导数和函数
一般情况下如果函数f(x)在(a,b)中每一点处都可导,则称f(x)在(a,b)上可导,则可建立f(x)的导函数,简称导数,记为f'(x)。
如果f(x)在(a,b)内可导,且在区间端点a处的右导数和端点b处的左导数都存在,则称f(x)在闭区间[a,b]上可导,f'(x)为区间[a,b]上的导函数,简称导数。
导函数的定义表达式为:
解析几何
解析几何是一种借助于解析式进行图形研究的几何学分支。解析几何通常使用二维的平面直角坐标系研究直线、圆、圆锥曲线、摆线、星型线等各种一般平面曲线,使用三维的空间直角坐标系来研究平面、球等各种一般空间曲面,同时研究它们的方程,并定义一些图形的概念和参数。
坐标
在解析几何当中,平面给出了坐标系,即每个点都有对应的一对实数坐标。最常见的是笛卡儿坐标系,其中,每个点都有x-坐标对应水平位置,和y-坐标对应垂直位置。这些常写为有序对(x,y)。这种系统也可以被用在三维几何当中,空间中的每个点都以多元组呈现(x,y,z)。
坐标系也以其它形式出现。在平面中最常见的另类坐标系是极坐标系,其中每个点都以从原点出发的半径r和角度θ表示。在三维空间中,最常见的另类坐标系统是圆柱坐标系和球坐标系。
曲线方程
在解析几何当中,任何方程都包含确定面的子集,即方程的解集。例如,方程y=x在平面上对应的是所有x-坐标等于y-坐标的解集。这些点汇集成为一条直线,y=x被称为这道方程的直线。总而言之,线性方程中x和y定义线,一元二次方程定义圆锥曲线,更复杂的方程则阐述更复杂的形象。
通常,一个简单的方程对应平面上的一条曲线。但这不一定如此:方程x=x对应整个平面,方程x2+y2=0 只对应(0,0)一点。在三维空间中,一个方程通常对应一个曲面,而曲线常常代表两个曲面的交集,或一条参数方程。方程x2+y2=r2代表了是半径为r且圆心在(0, 0)上的所有圆。
概率统计
这要求大家了解样本方差、总体方差、样本标准差的意义,理解加权平均数的概念,掌握它的计算公式,会计算样本方差和样本标准差,理解频数、频率的概念,掌握整理数据的步骤和方法,会列出样本频率分布表,画出频率分布直方图。