今天小编要给大家介绍的是点到直线的距离相关知识,这部分知识在高中数学中也是非常重要的,高考必考的知识,所以大家需要好好掌握,下面小编给大家详细介绍一下吧!
点到直线距离是连接直线外一点与直线上各点的所有线段中,垂线段最短,这条垂线段的长度。它实质是两点之间的距离,表示的是这一点到垂足的距离。数学中的距离,包括两点间的距离,点到直线的距离,两平行线间的距离,都可转化为两点间的距离。
公式
一、总公式: 设直线 L 的方程为Ax+By+C=0,点 P 的坐标为(Xo,Yo),则点 P 到直线 L 的距离为:

考虑点(x0,y0,z0)与空间直线x-x1/l=y-y1/m=z-z1/n,有d=|(x1-x0,y1-y0,z1-z0)×(l,m,n)|/√(l²+m²+n²)
二、引申公式:
公式①:设直线l1的方程为

直线l2的方程为

则2条平行线之间的间距:

公式②:设直线l1的方程为

直线l2的方程为

则2条直线的夹角
证明方法
一、定义法
证:根据定义,点P(x₀,y₀)到直线l:Ax+By+C=0的距离是点P到直线l的垂线段的长,
设点P到直线的垂线为l',垂足为Q,则l'的斜率为B/A
则l'的解析式为y-y₀=(B/A)(x-x₀)
把l和l'联立得l与l'的交点Q的坐标为((B^2x₀-ABy₀-AC)/(A^2+B^2), (A^2y₀-ABx₀-BC)/(A^2+B^2))
由两点间距离公式得
PQ^2=[(B^2x₀-ABy₀-AC)/(A^2+B^2)-x0]^2
+[(A^2y₀-ABx₀-BC)/(A^2+B^2)-y0]^2
=[(-A^2x₀-ABy₀-AC)/(A^2+B^2)]^2
+[(-ABx₀-B^2y₀-BC)/(A^2+B^2)]^2
=[A(-By₀-C-Ax₀)/(A^2+B^2)]^2
+[B(-Ax₀-C-By₀)/(A^2+B^2)]^2
=A^2(Ax₀+By₀+C)^2/(A^2+B^2)^2
+B^2(Ax₀+By₀+C)^2/(A^2+B^2)^2
=(A^2+B^2)(Ax₀+By₀+C)^2/(A^2+B^2)^2
=(Ax₀+By₀+C)^2/(A^2+B^2)
所以PQ=|Ax₀+By₀+C|/√(A^2+B^2),公式得证。
二、函数法
证:点P到直线上任意一点的距离的最小值就是点P到直线的距离。在上取任意点用两点的距离公式有,为了利用条件上式变形一下,配凑系数处理得:

当且仅

当时取等号所以最小值就是
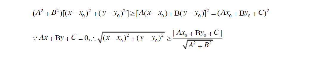
三、不等式法
证:点P到直线上任意一点Q的距离的最小值就是点P到直线的距离。由柯西不等式:

当且仅当

时取等号所以最小值就是
四、三角形法 证:P作PM∥轴交于M,过点P作PN∥轴交于N(图4)

由解法三知

;同理得

在Rt△MPN中,PQ是斜边上的高